2020. 3. 27. 20:38ㆍ카테고리 없음

1. fast-forward merge
아래와 같은 상황이 있다고 가정하자.
- issue 처리를 위해 master 브랜치에서 브랜치를 따서 작업을 하고 있었다.
- 갑자기 픽스해서 빠르게 릴리즈해야할 버그 사항이 있어 hotfix 브랜치를 master 기준으로 따서 작업을 했다.
버그를 픽스하고 테스트를 통과해 이제 릴리스 해야하는 상황이다. 이제 master에 hotfix를 머지해야되는 상황이다. 그런데 hotfix는 master를 베이스로 하고 있는 브랜치, 즉 master의 upstream 브랜치이다. 이제 머지를 하면 fast-forward 머지가 되는 것인데, 이것은 단순히 master가 바라보고 있는 커밋을 앞으로 이동하는 것(hotfix 브랜치가 가르키는 커밋을 master가 바라본다.) 뿐이다.
2. 3-way-merge
그렇다면 3-way-merge는 무엇일까? 위 상황과 차이점이 있다면 현재 브랜치가 가르키는 커밋이 Merge할 브랜치의 조상이 아니라는 점이다. 이 경우에 Git은 각 브랜치이 가르키는 커밋과 두 개 커밋의 공통 조상 커밋을 사용하여 머지하는 3-way-merge를 하게 된다.
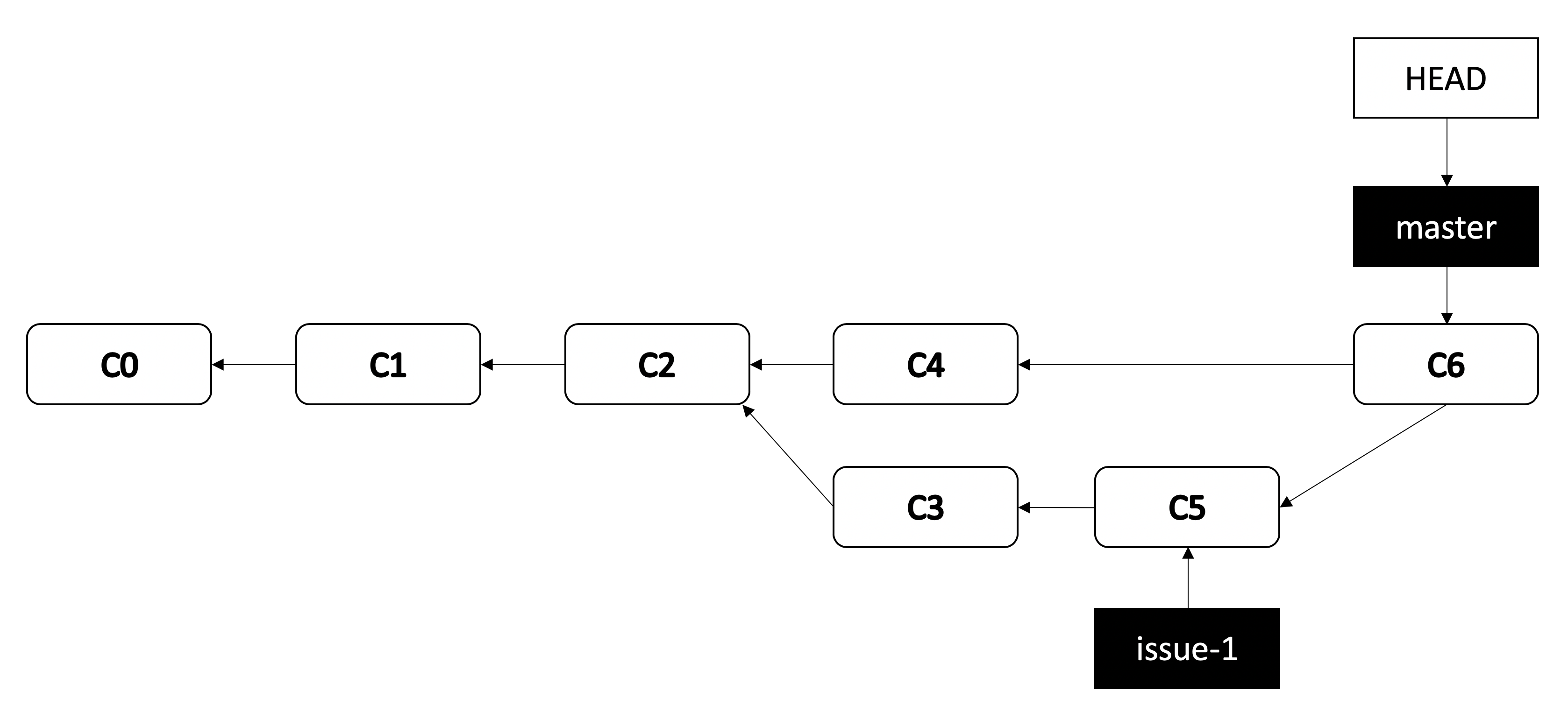
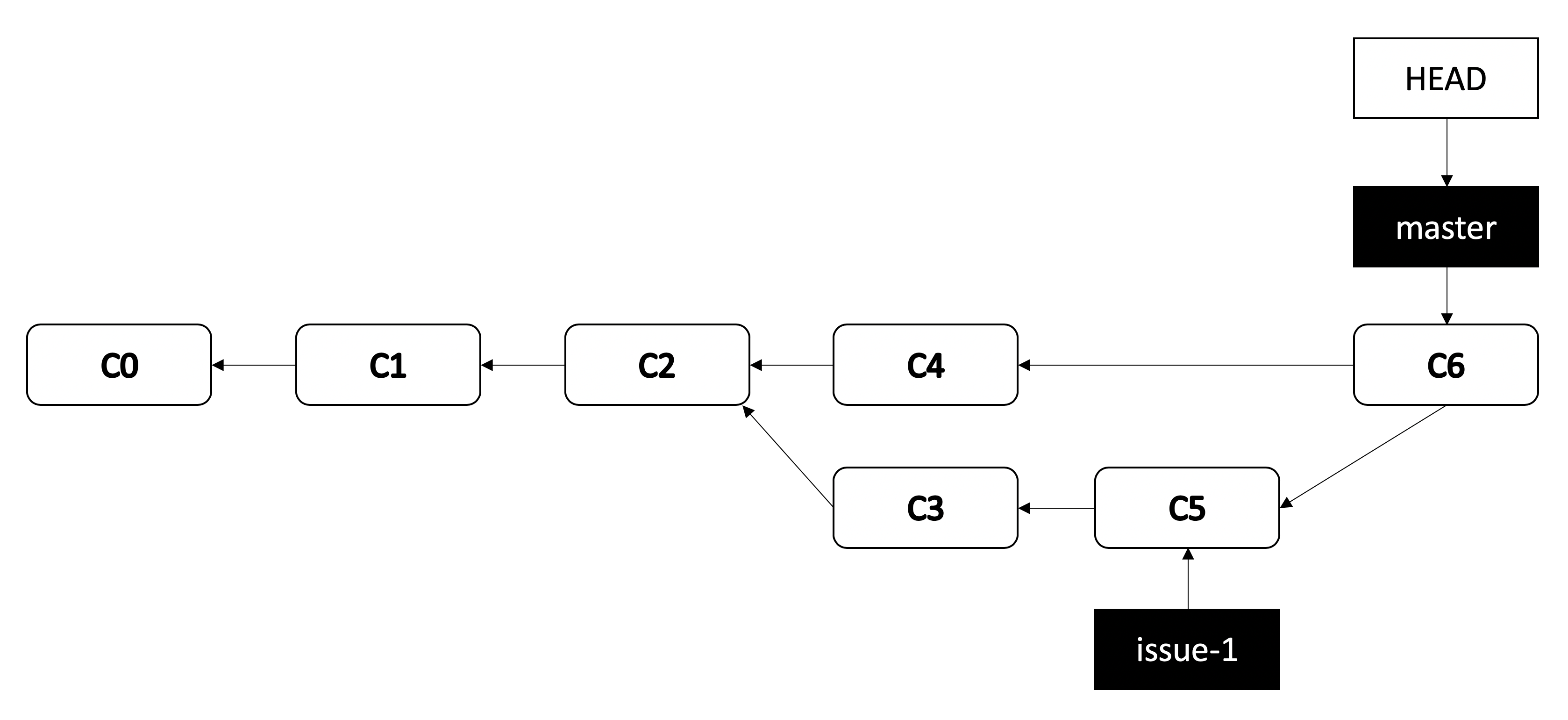
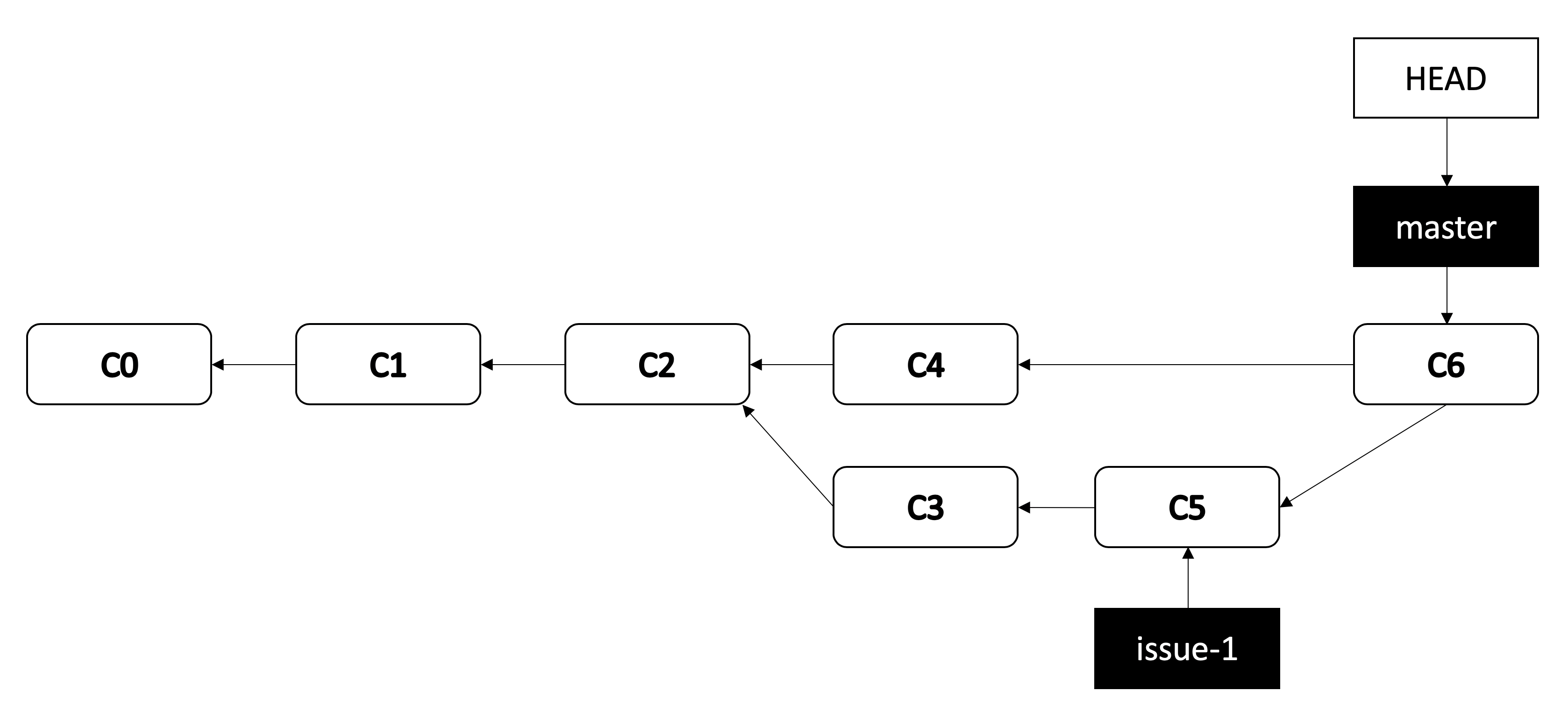
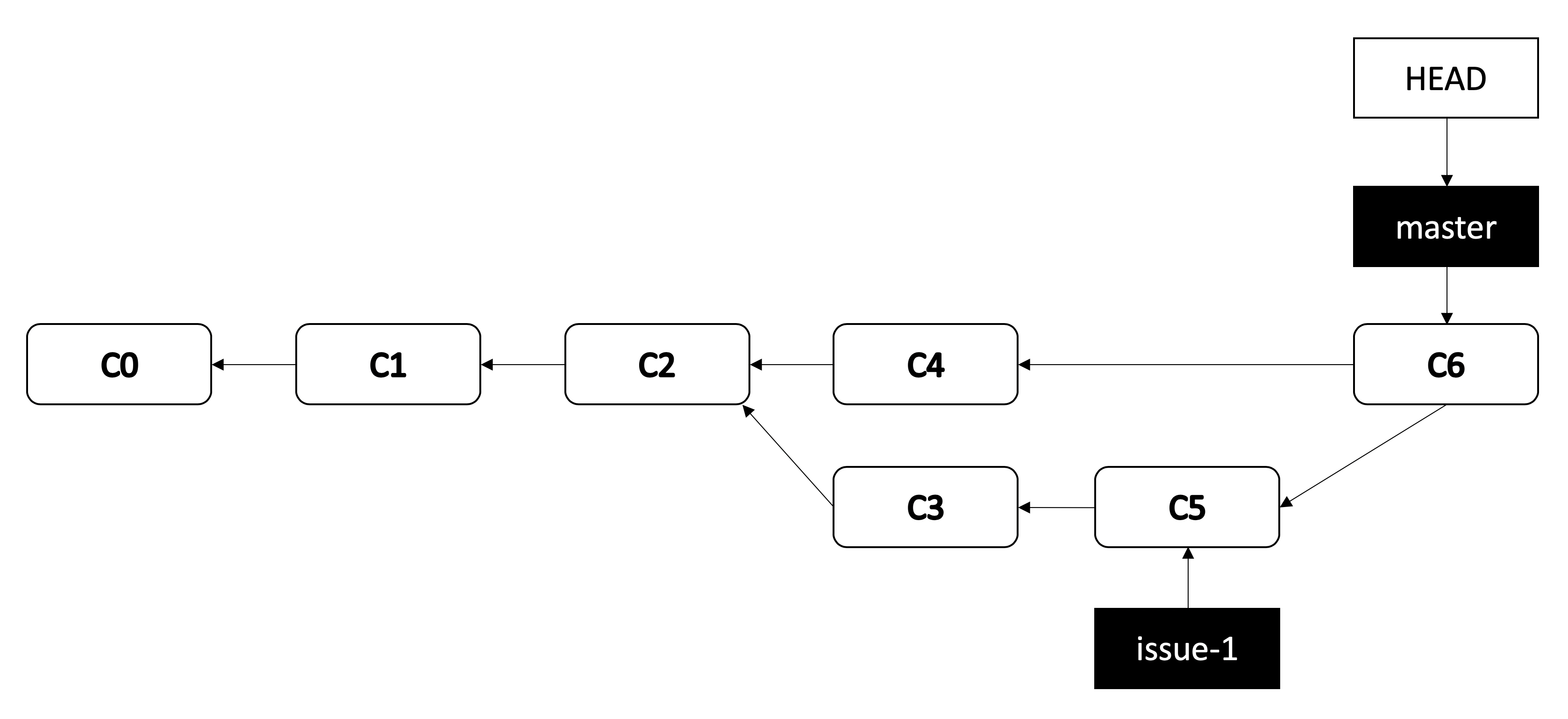
우선 3-way-merge가 발생하는 커밋 플로우를 보자.

master 브랜치가 가르키고 있는 C4 커밋이 현재 브랜치가 가르키고 있는 C5의 조상이 아니다. 이유는 이전에 hotfix 브랜치를 머지하여 fast-forward merge가 발생했기 때문이다. 이때 3-way-merge가 발생하면 최적의 공통 조상을 자동으로 찾아서 머지한다. 다른 버전 관리 시스템은 개발자가 직접 공통 조상을 찾아서 merge해야 하는데 이점에서 보면 Git은 merge가 아주 쉽다.

fast-forward와는 조금 다른 방식임을 직접 그림으로 보면 명확하다. 새로운 커밋이 생겼기 때문이다. 또한 fast-forward merge와는 다르게 충돌(conflict)이 날 수 있다. 그 상황은 처음 상황을 되살려서 hotfix가 수정한 파일과 issue-1 브랜치에서 수정한 파일이 같은 부분을 수행했을 때 발생한다. 이때는 Git은 충돌이 났기 때문에 자동으로 새 커밋을 생성하지 않는다. 충돌이 나서 unmerged된 파일을 수정하고 수동으로 커밋을 해야한다.