2020. 3. 27. 21:41ㆍTools/Git&GitHub

Git에서 한 브랜치에서 다른 브랜치로 합치는 방법은 두 가지다. 하나는 이전 포스팅에서 다룬 Merge이고 다른 하나는 Rebase이다. Rebase 상황을 이전 포스팅에서 다루어봤던 merge 상황이랑 비교해보자.
Git - fast-forward merge 란? fast-forward & 3-way Merge의 차이점
1. fast-forward merge 아래와 같은 상황이 있다고 가정하자. issue 처리를 위해 master 브랜치에서 브랜치를 따서 작업을 하고 있었다. 갑자기 픽스해서 빠르게 릴리즈해야할 버그 사항이 있어 hotfix 브랜치를..
coding-start.tistory.com
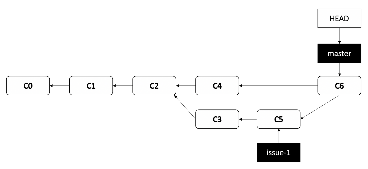
아래와 같은 상황이 있다.

이 상황에서 3-way-merge를 하면 그래프상태는 아래와 같은 상태가 된다.
#current branch master
> git merge issue-1

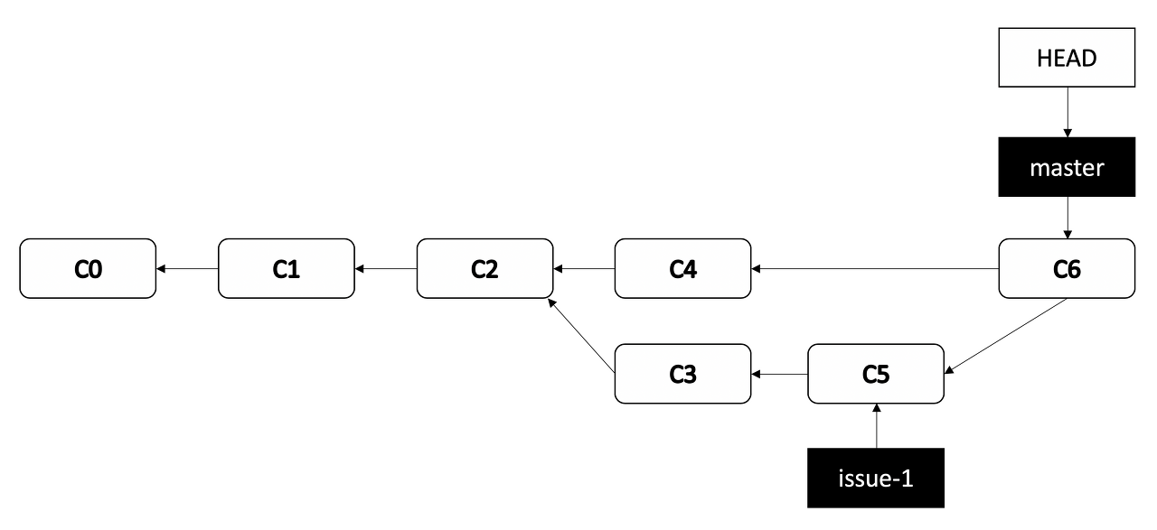
그런데 Rebase를 하면 어떻게 될까?
#current branch issue-1
> git rebase master
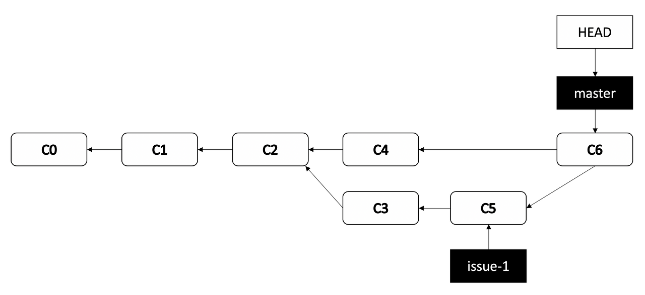
> git checkout master
> git merge issue-1

실제로 일어나는 일은 일단 두 브랜치가 나뉘기 전인 공통 커밋(C2)으로 이동하고 나서 그 커밋으로부터 지금 Checkout(issue-1)한 브랜치가 가르키는 커밋까지 diff를 차례로 만들어 어딘가에 임시로 저장해 놓고(새로운 커밋을 만든다.), Rebase할 브랜치(master) 커밋 뒤에 차례로 붙여버린다. 그리고 master에서 issue-1 브랜치를 머지하면 fast-forward merge가 된다.
결론적으로 보면 합친다는 관점에서 같고 최종 내용 또한 같다. 하지만 Rebase가 좀 더 깨끗한 히스토리를 만든다. Rebase한 브랜치의 Log를 살펴보면 히스토리가 위 그림과 같이 선형으로 되어 있다.
하지만 Rebase를 사용할 때 주의사항이 있다. git rebase master를 해서 master branch 커밋에 issue-1 커밋을 차례로 붙여버렸는데, 이 커밋은 새로 생성된 커밋이다. Rebase전의 C3 != Rebase후의 C3 인 것이다. 그러면 이 상황이 어떻게 주의를 해야하는 상황이 되어버린 것일까? 그 상황은 바로 이미 리모트 저장소에 Push한 커밋을 Rebase하는 상황이다. Rebase는 새로운 커밋을 만들어 뒤에 차례로 붙여버린다고 이야기 했는데, 이미 Push한 커밋을 Rebase하고 Push하면 나말고 다른 팀원이 보고 있는 커밋이 내용은 같이만 다른 커밋이 되어버린다. 이런 경우에는 똑같은 커밋이 두개가 생겨버리는 것이다. 엄청 혼란스러운 상황이다. 이런 상황은 서로 모든 팀원이 공유가 된 상태에서 "git pull --rebase(git fetch & git rebase)" 로 문제를 미리 방지할 수 있다.
뭐가 더 좋다고 할 수는 없지만 상황에 따라 잘 사용해야한다.
'Tools > Git&GitHub' 카테고리의 다른 글
| Git - 체리픽(Cherry-pick), 다른 브랜치 혹은 다른 레포지토리의 커밋 가져오기 (0) | 2020.08.02 |
|---|---|
| Git - git reset, revert란(깃 커밋 되돌리기)? (0) | 2020.06.06 |
| Git - 자주 사용되거나 유용한 Git 명령들 (0) | 2020.03.27 |
| Git - .gitignore가 작동하지 않을때(.gitignore가 안먹을때) (0) | 2020.03.26 |
| Git - 특정 브랜치(branch)만 clone하는 명령어 (0) | 2019.10.15 |